Chimie thérapeutique S2 reconnaissance - Statistiques

Statistiques générales
  • Ce quiz a été pris 9 fois
    1 depuis la dernière actualisation
  • Le résultat moyen est 10 sur 10
Statistiques - réponses
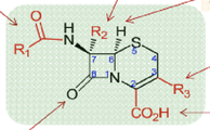
Par images Réponse % Correct
aztréonam
100%
Carbapénème
100%
céphalosporine
100%
céphalosporine de 3ème génération
100%
céphalosporine de 4ème génération
100%
diaminopyrimidine
100%
fluoroquinolone
100%
noyau b-lactame
100%
pénicilline
100%
sulfamide antibactérien
100%
Aucun quiz correspondant
Distribution des résultats
% des personnes avec chaque résultat
Percentile par nombre de réponses
Votre historique - résultats
Vous n’avez pas pris ce quiz depuis la dernière actualisation