20 acides aminés à l'aide de leur structure - Statistiques

Statistiques générales
  • Ce quiz a été pris 7 082 fois
  • Le résultat moyen est 13 sur 20
Statistiques - réponses
Par images Réponse % Correct
Glycine
80%
Cystéine
75%
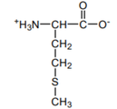
Méthionine
75%
Tryptophane
75%
Alanine
74%
Proline
74%
Tyrosine
73%
Phénylalanine
72%
Histidine
68%
Isoleucine
68%
Valine
68%
Leucine
67%
Acide glutamique
63%
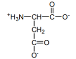
Acide aspartique
62%
Lysine
62%
Sérine
62%
Arginine
59%
Glutamine
56%
Asparagine
55%
Thréonine
55%
Aucun quiz correspondant
Distribution des résultats
% des personnes avec chaque résultat
Percentile par nombre de réponses
Votre historique - résultats
Vous n’avez pas pris ce quiz