Groupes Fonctionnels 2 - Statistiques

Statistiques générales
  • Ce quiz a été pris 12 fois
  • Le résultat moyen est 3 sur 11
Statistiques - réponses
Par images Réponse % Correct
Alcyne
71%
Chlorure d'acyle
43%
Diol
43%
Nitrile
43%
Imine
29%
Lactame
29%
Acetal
14%
Anhydride d'acide
14%
cétal
14%
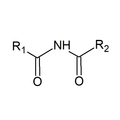
Imide
14%
Lactone
14%
Aucun quiz correspondant
Distribution des résultats
% des personnes avec chaque résultat
Percentile par nombre de réponses
Votre historique - résultats
Vous n’avez pas pris ce quiz