Verzweigte Alkane in Halbstrukturformel - Statistiken

Allgemein
  • Dieses Quiz wurde 21 mal gespielt
  • Das Durchschnittsergebnis liegt bei 4 aus 8
Antwortstatistiken
Bildquiz Antwort % Korrekt
2-Methylbutan
100%
2,2-Dimethylpropan
92%
2-Methylhexan
92%
3-Ethyl-2-methylpentan
46%
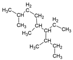
6-Ethyl-2,5,7-trimethylnonan
31%
2,3,4,5,6,7-Hexamethyloctan
23%
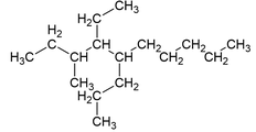
3,3,4-Trimethyl-7-propyldecan
23%
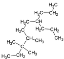
4-Ethyl-3-methyl-5-propyldecan
23%
Keine übereinstimmenden Quizze gefunden
Verteilung der Resultate
Anzahl Personen mit jedem Resultat
Perzentil nach korrekt beantworteten Fragen
Ihre Resultats-Entwicklung
Sie haben dieses Quiz noch nicht gespielt