Harder Math Problems

Can you answer these totally normal difficulty math questions? Note: Does not require Calculus or above
Many problems can be brute forced, but can be solved extremely quickly.
Some problems were taken or modified from AMC questions.
Quiz by
Dyotyi
Rate:
Last updated: June 9, 2025
You have not attempted this quiz yet.
First submittedJune 9, 2025
Times taken23
Average score20.0%
Report this quizReport
8:00
The quiz is paused. You have remaining.
Scoring
You scored / = %
This beats or equals % of test takers also scored 100%
The average score is
Your high score is
Your fastest time is
Keep scrolling down for answers and more stats ...
1. What is the area of an equilateral triangle, with base length x?
2. The Equations r=2sin(θ) Creates an circle. What is the center of the circle created?
(0,-2)
(-1,0)
(1,0)
(0,2)
(0,1)
(0,-1)
(2,0)
(-2,0)
3. What is sin(75°) equal to? (75 is in degrees).
4. Camila writes down five positive integers. The unique mode of these integers is 2 greater than their median, and the median is 2 greater than their arithmetic mean. What is the least possible value for the mode? (2022 AMC 10B Question 10)
7
3
9
5
11
5. Hex 16 number A9B3EE14A1932 Divided by F (Or 15 in base 10) has an remainder of:
4
3
7
6
5
2
1
0
6. You have coins valued 5 dollars and 8 dollars. Using POSITIVE INTEGER amounts of both, what's the largest value you cannot pay without needing change? (For example, you cannot pay 6 dollars without needing change).
41
28
40
27
7. You have coins valued 101 dollars and 97 dollars. What's the largest value you cannot pay without needing change? You can pay only in NON NEGATIVE Integer amounts. Using zero of a coin is ok.
9517
9413
9412
9797
9599
9796
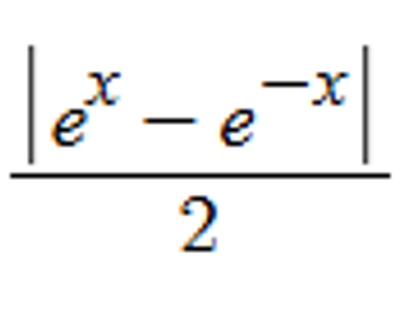
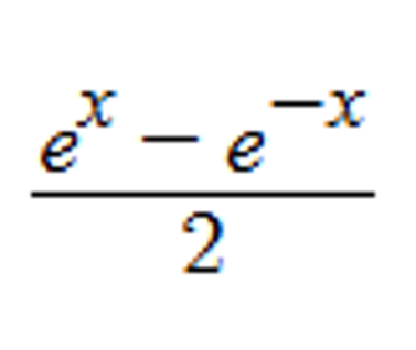
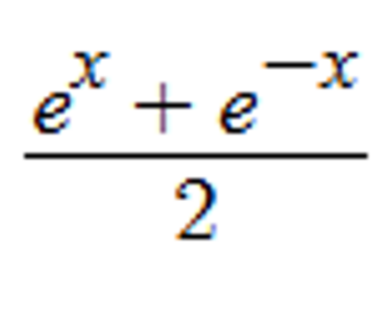
8. What is the formula for sinh(x)?
9. Find the median of all the three-digit palindromes.
500
545
555
560
550
10. [sin(12°)i + cos(12°)] * [sin(78°)i + cos(78°)] = (i stands for imaginary)
√2+√2i
i+1
i-1
sin(66°)i + cos(66°)
i-1
i
cos(66°)i + sin(66°)
1
Save Your Stats
Your Next Quiz
How many countries do you know? In this quiz, you've got 15:00 to name as many as you can. Go!
Name all 50 states in the USA. Easy, right?
Drag the flag onto the correct state. Careful, though! One wrong move and the game ends.
Drag the flag onto the correct country. Careful, though! One wrong move and the game ends.
Comments
No comments yet