Stéroïdes random - Statistiques

Statistiques générales
  • Ce quiz a été pris 4 236 fois
  • Le résultat moyen est 11 sur 17
Statistiques - réponses
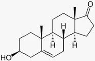
Par images Réponse % Correct
Cholesterol
86%
Oestrone
75%
Oestradiol
74%
Pregnenolone
73%
Progesterone
70%
Cortisol
69%
Aldostérone
68%
17 OH pregnenolone
65%
17 OH progesterone
64%
Testosterone
63%
DHEA
62%
DHT
61%
DOC
61%
11 deoxycortisol
60%
corticosterone
58%
Androstenedione
55%
Androstenediol
48%
Aucun quiz correspondant
Distribution des résultats
% des personnes avec chaque résultat
Percentile par nombre de réponses
Votre historique - résultats
Vous n’avez pas pris ce quiz