简单有机化合物 - Statistics

General Stats
  • This quiz has been taken 9 times
  • The average score is 2 of 12
Answer Stats
Picture Answer % Correct
丙酮酸
75%
4-羟基丁酸
75%
间硝基苯乙烯
50%
硝酸甘油
13%
2,2-二甲基丁二酸
13%
2-甲基-3-乙基-1-己醇
13%
甲基苯丙胺
0%
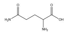
谷氨酰胺
0%
天冬氨酸
0%
半胱氨酸
0%
吡咯赖氨酸
0%
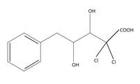
5-苯基-3,4-二羟基-2,2-二氯戊酸
0%
No matching quizzes found
Score Distribution
Percent of People with Each Score
Percentile by Number Answered
Your Score History
You have not taken this quiz