Organic Chemistry reactions - Statistics

General Stats
  • This quiz has been taken 21 times
  • The average score is 6 of 16
Answer Stats
Picture Answer % Correct
SN2
71%
Diels-Alder
67%
Alkene Hydrohalogenation
62%
E2
57%
Grignard
48%
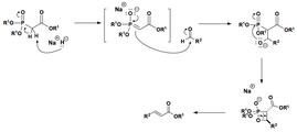
Aldol
43%
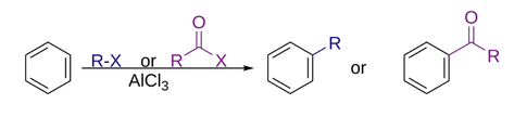
Friedel–Crafts
43%
Ozonolysis
43%
Wittig
43%
Saponification
29%
Michael addition
24%
Radical halogenation
24%
Suzuki-Miyaura coupling
24%
Birch reduction
19%
Haloform/Bromoform
10%
Horner–Wadsworth–Emmons
10%
No matching quizzes found
Score Distribution
Percent of People with Each Score
Percentile by Number Answered
Your Score History
You have not taken this quiz