Krebs Cycle Structures - Statistics

General Stats
  • This quiz has been taken 570 times
  • The average score is 6 of 9
Answer Stats
Picture Answer % Correct
Acetyl CoA
97%
Fumarate
73%
Succinyl CoA
72%
Isocitrate
64%
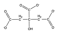
Citrate
58%
Malate
56%
Oxaloacetate
52%
Succinate
52%
Alpha ketoglutarate
48%
No matching quizzes found
Score Distribution
Percent of People with Each Score
Percentile by Number Answered
Your Score History
You have not taken this quiz