thumbnail

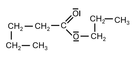
Nomenklatur der Ester

Benenne die dargestellten Ester nach IUPAC (z.B. Ethylethanoat) oder mit den vereinfachten Namen (z.B. Ethansäureethylester).
Erstellt durch
SarahSNI
Bewertung:
Letzte Aktualisierung: 19. Januar 2026
Sie haben dieses Quiz noch nicht gespielt.
Erstveröffentlichung19. Januar 2026
Anzahl Spiele7
Durchschnittsergebnis100,0%
Quiz meldenMelden
8:00
Geben Sie die Antworten hier ein
0
 / 8 gefunden
Das Quiz ist pausiert. Sie haben übrig.
Resultate
Ihr Ergebnis / = %
Das schlägt oder egalisiert % der Personen hatten auch 100%
Das Durchschnittsergebnis liegt bei
Ihr bestes Ergebnis liegt bei
Ihre schnellste Zeit liegt bei
Scrollen Sie nach unten für Antworten und mehr Stats ...
Save Your Stats
Weitere Vorschläge
Nennen Sie alle Länder, die mit L beginnen
Kannst du die Flagge von jedem europäischen Land erraten? Eine falsche Antwort und das Quiz ist vorbei!
Kannst du die Mitglieder dieser 6er-Gruppen nennen?
Ihnen werden 10 zufällige Zahlen zwischen 1 und 100 gezeigt, ohne dass Sie wissen welche als Nächstes kommt. Ihre Aufgabe ist es, sie in die richtige Reihenfolge zu bringen! Aber Vorsicht: Wenn eine Zahl nicht zugeordnet werden kann, endet das Quiz...
Kommentare
Noch keine Kommentare vorhanden