Menu
Créer
Aléatoire
Créer un compte
Connexion
0
0
0
Langue
Deutsch
English
Español
Italiano
Nederlands
Polski
Português
Suomi
Plus...
Rechercher...
Quiz étoilés
Tous les quiz étoilés
Nouveaux ou réinitialisés
Aléatoire
Meilleur du jour
Géographie
Histoire
Quiz des utilisateurs
Les plus récents
Tous les quiz en français
Tags
Créer un quiz
Créer un quiz
Nouveau Clic Quiz
Nouveau Carte Quiz
Nouveau QCM
Nouveau Quiz par Images
Nouvelle Mort subite
Nouveau Quiz Textuel
Nouvelle Sélection de Tuiles
Mots mêlés
Puzzles récents des utilisateurs
Créer des mots mêlés
Blogs
Blogs des utilisateurs
Blogs récents des utilisateurs
Créer un blog
Plus
Créer un graphique
Mini-Jeux
Anecdotes
Citations
À propos de JetPunk
À propos de nous
Nous contacter
Journal des modifications
JetPunk Premium
Plantation d'arbres
Site Map
Terms of Service
Mode sombre
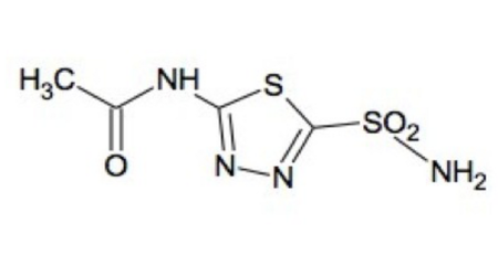
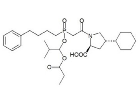
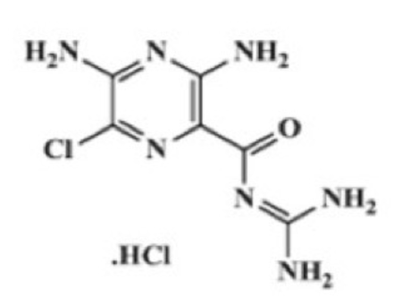
Chimie thérapeutique S1 reconnaissance
Créé par
eloche3
Profil
Quiz
déjà abonné
S'abonner?
+ Playlist
Évaluation:
Dernière actualisation : 19 juin 2024
Vous n'avez pas encore tenté ce quiz.
Informations additionnelles concernant ce quiz >>
Première soumission
19 juin 2024
Nombre de tentatives
23
Score moyen
15,8%
Signaler ce quiz
Signaler
Statistiques - quiz et réponses >>
Statistiques de vos amis >>
Faire le quiz
30:00
Abandonner?
Entrez votre réponse ici
0
/ 57 trouvés
Pause
Temps illimité
Aide
Temps utilisé
00:00
Meilleur Temps
00:00
Ce quiz a été mis en pause. Vous avez
.
Reprendre
Copied!
Résultats
Votre score est de
/
=
%
Il bat ou égale
% des joueurs
ont aussi obtenu 100%
Le résultat moyen est
Votre meilleur score est de
Votre temps le plus rapide est
plus >>
Statistiques de vos amis >>
Continuez à faire défiler vers le bas pour obtenir les réponses et plus de stats ...
Refaire ce quiz
Défier un ami
Save Your Stats
Créer un compte
Suggestions de quiz
Pays aléatoires par drapeau
Nommez les pays qui utilisent ces drapeaux. Les réponses changent à
chaque fois
que vous jouez !
20 pays aléatoires sur une carte du monde
Pouvez-vous nommer ces 20 pays coloriés en noir sur la carte ci-dessous ? Les réponses changent à chaque fois que vous jouez !
Associez la peinture à l'artiste - Clic Quiz
Cliquez sur le nom de l'artiste qui a créé chacune de ces œuvres.
Capitales - Mort subite
Cliquez sur les capitales. Ne cliquez sur rien sinon des capitales. Cliquez quoi que ce soit d'autre et le quiz se terminera instantanément !
Aléatoire
Plus >
Rafraîchir
Commentaires
Pas de commentaires
Commentez
Nouveau et populaire
all
de
en
es
fi
fr
it
nl
pl
pt
Pays du Monde
12 mois en 15 secondes
Princesses Disney
Pays d'Amérique du Sud - Carte Quiz
Êtes-vous un bon menteur ? #2 - Clic Quiz
L'alphabet militaire
Les pays européens par deux premières lettres
Présidents français - Mort subite
Pays ayant le plus de touristes
États des États-Unis par les deux premières lettres en 30 secondes
Pays commençant par la lettre T
Calcul mental rapide - multiplications
Aléatoire
Meilleur du jour