| Par images | Réponse | % Correct |
|---|---|---|
![]() | Dinitrate d'isosorbide | 75%
|
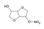
![]() | Mononitrate d'isosorbide | 75%
|
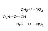
![]() | Trinitrine | 63%
|
![]() | Acide salicylique | 50%
|
![]() | Captopril | 50%
|
![]() | Périndopril | 50%
|
![]() | Enalapril | 38%
|
![]() | Fosinopril | 38%
|
![]() | Lisinopril | 38%
|
![]() | Losartan | 38%
|
![]() | Acide acétylcalicylique | 25%
|
![]() | Buméthanide | 25%
|
![]() | Diclofénac | 25%
|
![]() | Hydrochlorothiazide | 25%
|
![]() | Ibuprofène | 25%
|
![]() | Nicorandil | 25%
|
![]() | Pirétanide | 25%
|
![]() | Valsartan | 25%
|
![]() | Cortisol | 13%
|
![]() | Dantrolène | 13%
|
![]() | Diltiazem | 13%
|
![]() | Éthosuximide | 13%
|
![]() | Ézétimibe | 13%
|
![]() | Flunarizine | 13%
|
![]() | Furosémide | 13%
|
![]() | Kétoprofène | 13%
|
![]() | Propranolol | 13%
|
![]() | Ranitidine | 13%
|
![]() | Vérapamil | 13%
|
![]() | Acébutolol | 0%
|
![]() | Acétazolamide | 0%
|
![]() | Acide niflumique | 0%
|
![]() | alpha-méthyl dopa | 0%
|
![]() | Amiloride | 0%
|
![]() | Amlodipine | 0%
|
![]() | Aténolol | 0%
|
![]() | Atorvastatine | 0%
|
![]() | Bénazépril | 0%
|
![]() | Carvédilol | 0%
|
![]() | Célécoxib | 0%
|
![]() | Cicletanine | 0%
|
![]() | Clonidine | 0%
|
![]() | Fénofibrate | 0%
|
![]() | Indapamide | 0%
|
![]() | Indométacine | 0%
|
![]() | Lévobunolol | 0%
|
![]() | Nicardipine | 0%
|
![]() | Nifédipine | 0%
|
![]() | Oméprazole | 0%
|
![]() | Piroxicam | 0%
|
![]() | Prazozine | 0%
|
![]() | Quinapril | 0%
|
![]() | Ramipril | 0%
|
![]() | Simvastatine | 0%
|
![]() | Sotalol | 0%
|
![]() | Spirolactone | 0%
|
![]() | Timolol | 0%
|