Menu
Créer
Aléatoire
Créer un compte
Connexion
0
0
0
Langue
Deutsch
English
Español
Italiano
Nederlands
Polski
Português
Suomi
Plus...
Rechercher...
Quiz étoilés
Tous les quiz étoilés
Nouveaux ou réinitialisés
Aléatoire
Meilleur du jour
Géographie
Histoire
Quiz des utilisateurs
Les plus récents
Tous les quiz en français
Tags
Créer un quiz
Créer un quiz
Nouveau Clic Quiz
Nouveau Carte Quiz
Nouveau QCM
Nouveau Quiz par Images
Nouvelle Mort subite
Nouveau Quiz Textuel
Nouvelle Sélection de Tuiles
Mots mêlés
Puzzles récents des utilisateurs
Créer des mots mêlés
Blogs
Blogs des utilisateurs
Blogs récents des utilisateurs
Créer un blog
Plus
Créer un graphique
Mini-Jeux
Anecdotes
Citations
À propos de JetPunk
À propos de nous
Nous contacter
Journal des modifications
JetPunk Premium
Plantation d'arbres
Site Map
Terms of Service
Mode sombre
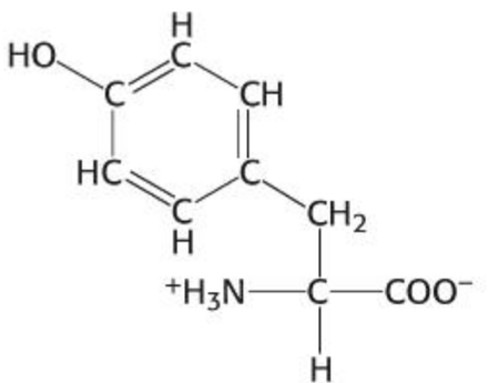
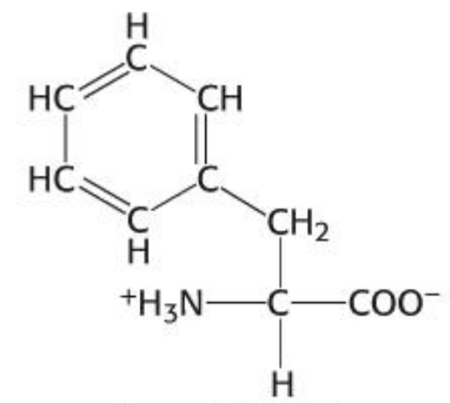
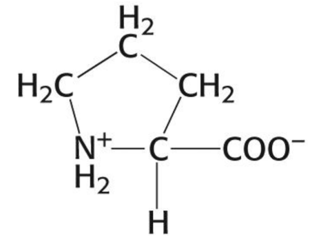
Acides aminés grâce à la structure
- Retrouvez l'acide aminé grâce à sa structure chimique
Créé par
fauconplerin
Profil
Quiz
déjà abonné
S'abonner?
+ Playlist
Évaluation:
Dernière actualisation : 17 décembre 2025
Vous n'avez pas encore tenté ce quiz.
Informations additionnelles concernant ce quiz >>
Première soumission
26 novembre 2025
Nombre de tentatives
142
Score moyen
75,0%
Signaler ce quiz
Signaler
Statistiques - quiz et réponses >>
Statistiques de vos amis >>
Faire le quiz
8:00
Abandonner?
Entrez votre réponse ici
0
/ 20 trouvés
Pause
Temps illimité
Aide
Temps utilisé
00:00
Meilleur Temps
00:00
Ce quiz a été mis en pause. Vous avez
.
Reprendre
Copied!
Résultats
Votre score est de
/
=
%
Il bat ou égale
% des joueurs
ont aussi obtenu 100%
Le résultat moyen est
Votre meilleur score est de
Votre temps le plus rapide est
plus >>
Statistiques de vos amis >>
Continuez à faire défiler vers le bas pour obtenir les réponses et plus de stats ...
Refaire ce quiz
Défier un ami
Save Your Stats
Créer un compte
Suggestions de quiz
Pays du Monde
Il y a 196 pays dans le monde. Combien pouvez-vous en nommer?
Les pays membres de l'OTAN
Nommez les 32 pays de l'Organisation du traité de l'Atlantique Nord.
20 pays aléatoires sur une carte du monde
Pouvez-vous nommer ces 20 pays coloriés en noir sur la carte ci-dessous ? Les réponses changent à chaque fois que vous jouez !
Mot - Rsubite
Cliquez sur les mots qui existent et que vous pourriez retrouver dans le dictionnaire de l'Académie française. Une seule erreur et le quiz s'arrête.
Aléatoire
Plus >
Rafraîchir
Commentaires
Pas de commentaires
Commentez
Nouveau et populaire
all
de
en
es
fi
fr
it
nl
pl
pt
Pays du Monde
12 mois en 15 secondes
Capitales du Monde - Quiz
Trouvez le pays aléatoire avec des indices de couleur
Trouvez le pays mystère en utilisant des indices - Aléatoire
Pays d'Asie
Capitales d'Europe - Quiz
Pays par les deux premières lettres en 90 secondes
Test de rapidité - Deux lettres
Les 100 prénoms les plus portés en France
Pays d'Europe en une minute
Villes de France - Carte Quiz
Aléatoire
Meilleur du jour