Acides aminés grâce à la structure - Statistiques

Statistiques générales
  • Ce quiz a été pris 150 fois
  • Le résultat moyen est 16 sur 20
Statistiques - réponses
Par images Réponse % Correct
Glycine (Gly, G)
91%
Alanine (Ala, A)
88%
Isoleucine (Ile, I)
88%
Leucine (Leu, L)
85%
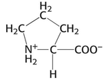
Proline (Pro, P)
85%
Valine (Val,V)
85%
Serine (Ser, S)
82%
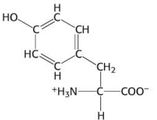
Tryptophane (Trp, W)
82%
Cysteine (Cys, C)
79%
Glutamate (Glu, E)
79%
Histidine (His, H)
79%
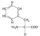
Phenylalanine (Phe, F)
79%
Methionine (Met, M)
76%
Threonine (Thr, T)
76%
Tyrosine (Tyr, Y)
76%
Aspartate (Asp, D)
74%
Lysine (Lys, K)
74%
Glutamine (Gln, Q)
71%
Arginine (Arg, R)
68%
Asparagine (Asn,N)
65%
Aucun quiz correspondant
Distribution des résultats
% des personnes avec chaque résultat
Percentile par nombre de réponses
Votre historique - résultats
Vous n’avez pas pris ce quiz