Menu
Login
Sprache
English
Español
Français
Italiano
Nederlands
Polski
Português
Suomi
Mehr...
Suche...
Hervorgehobene Quizzes
Alle hervorgehobenen Quizzes
Neue und aktualisierte
Zufälliges Quiz
Beliebteste von heute
Benutzererstellte Quizzes
Aktuelle Quizzes
Alle unsere deutschen Quizzes
Quiz erstellen
Quiz erstellen / bearbeiten
Neues Klickquiz
Neues Karten-Quiz
Neues Multiple Choice-Quiz
Neues Bildquiz
Neues Sudden Death-Quiz
Neues Textquiz
Neues Kachelauswahl-Quiz
Wortsuche
Aktuelle benutzererstellte Rätsel
Wortsuchrätsel erstellen
Blogs
Blogs unserer User
Kürzlich erstellte User-Blogs
Blog erstellen
Mehr
Grafik erstellen
JetPunk Minispiele
Über JetPunk
Über uns
Kontakt
Änderungsprotokoll
JetPunk Premium
Bäume pflanzen
Site Map
Terms of Service
Zufälliges Quiz
Nachtmodus
Welche Struktur ist kein Strukturisomer?
Welches der Verbindungen ist nicht Teil des Isomerenpaars?
Erstellt durch
ShiroShish
Profil
Quizzes
Abonniert
Abonnieren?
+ Playlist
Bewertung:
Letzte Aktualisierung: 20. Juni 2024
Sie haben dieses Quiz noch nicht gespielt.
Mehr Informationen über dieses Quiz >>
Erstveröffentlichung
20. Juni 2024
Anzahl Spiele
12
Durchschnittsergebnis
55,6%
Quiz melden
Melden
Quiz- und Antwortstatistiken >>
Shared scores >>
Quiz Starten
15:00
Quiz beenden
Pause
Kein Zeitlimit
Hilfe
Das Quiz ist pausiert. Sie haben
übrig.
Fortfahren
Copied!
Resultate
Ihr Ergebnis
/
=
%
Das schlägt oder egalisiert
% der Personen
hatten auch 100%
Das Durchschnittsergebnis liegt bei
Ihr bestes Ergebnis liegt bei
Ihre schnellste Zeit liegt bei
mehr >>
shared scores >>
Scrollen Sie nach unten für Antworten und mehr Stats ...
Quiz erneut spielen
Challenge Users
<< Zurück
Weiter >>
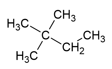
Frage 1 aus 3
Was ist das
Strukturisomer zu n-Pentan
JA
NEIN
<< Zurück
Weiter >>
<< Zurück
Weiter >>
Frage 2 aus 3
Was ist das
Strukturisomer zu n-Hexan
JA
NEIN
<< Zurück
Weiter >>
<< Zurück
Weiter >>
Frage 3 aus 3
Was ist das
Strukturisomer zu n-Heptan
JA
NEIN
<< Zurück
Weiter >>
Quiz beenden
Save Your Stats
Registrieren
Weitere Vorschläge
Weltkarte ohne 20 zufällige Länder
20 zufällige Länder wurden von der Weltkarte entfernt! Können Sie sie in 3 Minuten identifizieren?
Deutsche Städte - Sudden Death
Klicke nur auf die deutschen Städte!
Hauptstädte - Sudden Death
Klicke die Hauptstädte an. Klicke nichts außer Hauptstädte an. Eine andere Stadt anzuklicken, wird das Quiz sofort beenden!
Klicken Sie auf ein gültiges Land A-Z
Können sie
innerhalb einer Minute
für jede Gruppe von hervorgehobenen Ländern den richtigen Anfangsbuchstaben anklicken?
Zufälliges Quiz
Mehr >
Aktualisieren
1 Kommentare
Kommentare >
LOLZOCKERPIMPF
+1
Level 47
21. Jun 2024
Glaube du hast bei den Heptan Isomeren eine Struktur falsch eingeordnet :)
Kommentieren
Neu und beliebt
all
de
en
es
fi
fr
it
nl
pl
pt
Länder der Welt Quiz
Weltkarte ohne 20 zufällige Länder
Weltkarte mit zufällig zusammengefügten Ländern
Länder, die mit V beginnen
Europa Karten-Quiz
Champions League Sieger - Sudden Death
Allgemeinwissen - Einfach #5
Häufigste Nachnamen in Deutschland
Länder, die mit D beginnen
Allgemeinwissen - Einfach #3
Fünf größte Länder pro Kontinent
Länder, die mit E beginnen
Zufälliges Quiz
Beliebteste von heute