| Frage | Kachel | Select | % Korrekt |
|---|---|---|---|
| Strukturisomer zu n-Pentan | ![]() | Nein | 100%
|
| Strukturisomer zu n-Pentan | ![]() | Nein | 100%
|
| Strukturisomer zu n-Pentan | ![]() | Nein | 89%
|
| Strukturisomer zu n-Pentan | ![]() | Nein | 89%
|
| Strukturisomer zu n-Pentan | ![]() | Nein | 89%
|
| Strukturisomer zu n-Pentan | ![]() | Nein | 78%
|
| Strukturisomer zu n-Pentan | ![]() | Nein | 78%
|
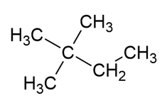
| Strukturisomer zu n-Pentan | ![]() | Ja | 67%
|
| Strukturisomer zu n-Hexan | ![]() | Nein | 67%
|
| Strukturisomer zu n-Hexan | ![]() | Nein | 67%
|
| Strukturisomer zu n-Hexan | ![]() | Nein | 67%
|
| Strukturisomer zu n-Hexan | ![]() | Nein | 67%
|
| Strukturisomer zu n-Hexan | ![]() | Nein | 67%
|
| Strukturisomer zu n-Hexan | ![]() | Ja | 56%
|
| Strukturisomer zu n-Hexan | ![]() | Ja | 44%
|
| Strukturisomer zu n-Heptan | ![]() | Ja | 44%
|
| Strukturisomer zu n-Heptan | ![]() | Ja | 44%
|
| Strukturisomer zu n-Heptan | ![]() | Nein | 44%
|
| Strukturisomer zu n-Hexan | ![]() | Ja | 33%
|
| Strukturisomer zu n-Hexan | ![]() | Ja | 33%
|
| Strukturisomer zu n-Heptan | ![]() | Ja | 33%
|
| Strukturisomer zu n-Heptan | ![]() | Ja | 33%
|
| Strukturisomer zu n-Heptan | ![]() | Ja | 33%
|
| Strukturisomer zu n-Heptan | ![]() | Ja | 33%
|
| Strukturisomer zu n-Heptan | ![]() | Ja | 33%
|
| Strukturisomer zu n-Heptan | ![]() | Ja | 33%
|
| Strukturisomer zu n-Pentan | ![]() | Ja | 22%
|