Glycolyse - Statistiques

Statistiques générales
  • Ce quiz a été pris 357 fois
    225 depuis la dernière actualisation
  • Le résultat moyen est 5 sur 12
Statistiques - réponses
Par images Réponse % Correct
Glucose
90%
Pyruvate
57%
G6P
55%
F6P
45%
PEP
37%
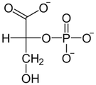
2 phosphoglycérate
32%
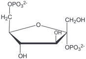
F16bP
30%
3 phosphoglycérate
27%
DHAP
25%
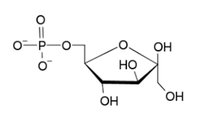
F26bP
23%
G3P
23%
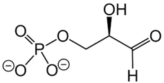
13bPG
20%
Aucun quiz correspondant
Distribution des résultats
% des personnes avec chaque résultat
Percentile par nombre de réponses
Votre historique - résultats
Vous n’avez pas pris ce quiz depuis la dernière actualisation