Menu
Créer
Aléatoire
Créer un compte
Connexion
0
0
0
Langue
Deutsch
English
Español
Italiano
Nederlands
Polski
Português
Suomi
Plus...
Rechercher...
Quiz étoilés
Tous les quiz étoilés
Nouveaux ou réinitialisés
Aléatoire
Meilleur du jour
Géographie
Histoire
Quiz des utilisateurs
Les plus récents
Tous les quiz en français
Tags
Créer un quiz
Créer un quiz
Nouveau Clic Quiz
Nouveau Carte Quiz
Nouveau QCM
Nouveau Quiz par Images
Nouvelle Mort subite
Nouveau Quiz Textuel
Nouvelle Sélection de Tuiles
Mots mêlés
Puzzles récents des utilisateurs
Créer des mots mêlés
Blogs
Blogs des utilisateurs
Blogs récents des utilisateurs
Créer un blog
Plus
Créer un graphique
Mini-Jeux
Anecdotes
Citations
À propos de JetPunk
À propos de nous
Nous contacter
Journal des modifications
JetPunk Premium
Plantation d'arbres
Site Map
Terms of Service
Mode sombre
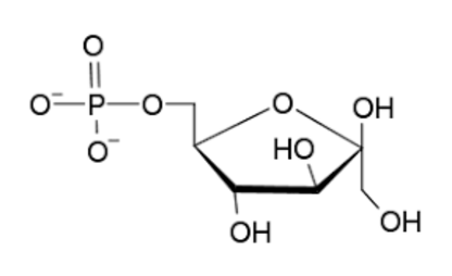
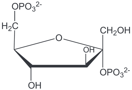
Glycolyse
Nomenclature : DHAP =dihydroacétone phosphate ------Pyruvate ------PEP ------F16bP=fructose-1,6-bisphosphate ------G6P et F6P = glucose 6 phosphate et fructose 6 phosphate ------13bPG= 1-3-bisphosphoglycérate ------G3P= Glyceraldéhyde 3 phosphate ------3 phosphoglycérate ------2 phosphoglycérate ------Glucose ------F26bP=fructose-2,6-bisphosphate
Créé par
AsiatiqueChauve
Profil
Quiz
déjà abonné
S'abonner?
+ Playlist
Évaluation:
Dernière actualisation : 30 novembre 2023
Vous n'avez pas encore tenté ce quiz.
Informations additionnelles concernant ce quiz >>
Première soumission
10 novembre 2023
Nombre de tentatives
356
Score moyen
41,7%
Signaler ce quiz
Signaler
Statistiques - quiz et réponses >>
Statistiques de vos amis >>
Faire le quiz
6:00
Abandonner?
Entrez votre réponse ici
0
/ 12 trouvés
Pause
Temps illimité
Aide
Temps utilisé
00:00
Meilleur Temps
00:00
Ce quiz a été mis en pause. Vous avez
.
Reprendre
Copied!
Résultats
Votre score est de
/
=
%
Il bat ou égale
% des joueurs
ont aussi obtenu 100%
Le résultat moyen est
Votre meilleur score est de
Votre temps le plus rapide est
plus >>
Statistiques de vos amis >>
Continuez à faire défiler vers le bas pour obtenir les réponses et plus de stats ...
Refaire ce quiz
Défier un ami
Save Your Stats
Créer un compte
Suggestions de quiz
Pays du Monde
Il y a 196 pays dans le monde. Combien pouvez-vous en nommer?
Pays qui produisent le plus de pétrole
Pouvez-vous nommer les 20 pays qui produisent le plus de pétrole ?
Capitales - Mort subite
Cliquez sur les capitales. Ne cliquez sur rien sinon des capitales. Cliquez quoi que ce soit d'autre et le quiz se terminera instantanément !
Placez les pays d'Europe sur une carte sans frontières - Mort subite
Faites glisser le nom du pays jusqu'à son bon emplacement. Mais attention ! Un seul mauvais placement et la partie prend fin. Indice : Utilisez les flèches pour faire défiler les pays. Utilisateurs mobiles : commencez par les côtes. Vous p...
Aléatoire
Plus >
Rafraîchir
Commentaires
Pas de commentaires
Commentez
Nouveau et populaire
all
de
en
es
fi
fr
it
nl
pl
pt
Pays du Monde
12 mois en 15 secondes
Pays d'Europe
États des États-Unis
Test de Rapidité : Allez de 1 à 100
Pays d'Afrique
Pays aléatoires par drapeau
20 pays aléatoires sur une carte du monde
Traduction de Vocabulaire en Anglais Aléatoire
Drapeaux du Monde
Départements français
Carte du Monde sans 20 pays aléatoires
Aléatoire
Meilleur du jour
S1
Une série de quiz par AsiatiqueChauve
En mode histo
Epithéliums la totale
Exemples dans les mécanismes d'actions
...
Inhibiteurs chaine respi
Maladies de l'UE2
Pathologies All Star
Précédent
Tout afficher
Suivant