Menu
Login
Idioma
Deutsch
English
Français
Italiano
Nederlands
Polski
Português
Suomi
Más...
Buscar...
Pruebas destacadas
Recomendado
Nuevas y reiniciadas
Aleatorio
Lo mejor de hoy
Quizzes de usuarios
Más recientes
Todos nuestras pruebas en español
Crear quiz
Crear prueba
Nuevo quiz de clic
Nuevo quiz de mapa
Nuevo quiz de multiple elección
Nuevo quiz de imagenes
Nuevo quiz de muerte súbita
Nuevo quiz de texto
Nuevo quiz de "selección de cuadros"
Sopa de letras
Sopas de letras recientes
Crear una sopa de letras
Blogs
Blogs de Usuarios
Blogs recientes de usuarios
Crear un blog
Más
Crear una gráfica
Minijuegos de JetPunk
Acerca de JetPunk
Sobre nosotros
Contáctanos
Registro de cambios
JetPunk Premium
Planteo de árboles
Site Map
Terms of Service
Aleatorio
Modo oscuro
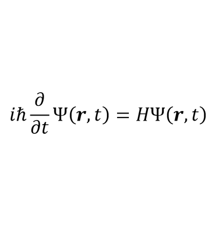
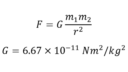
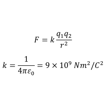
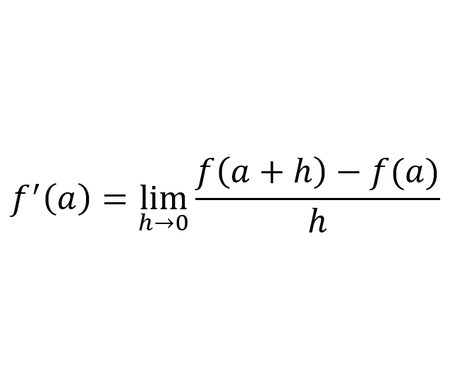
Fórmulas y ecuaciones matemáticas y físicas
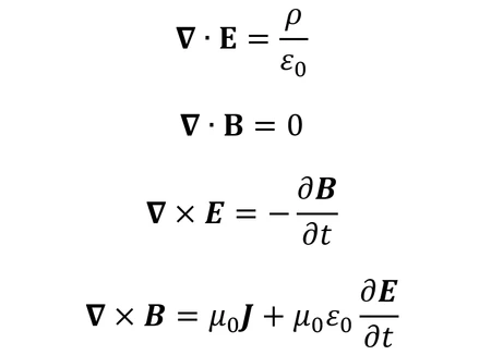
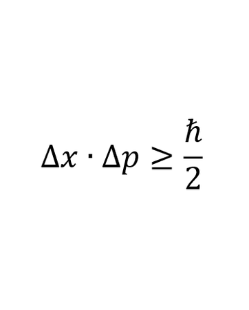
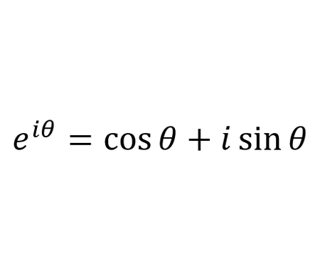
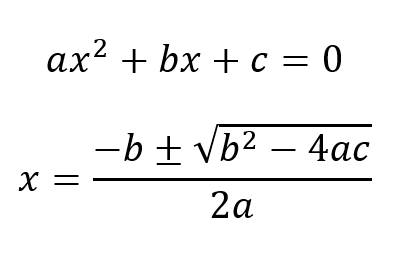
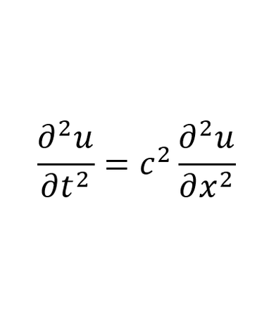
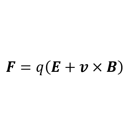
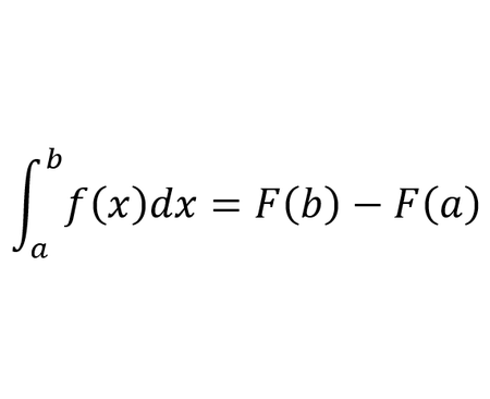
¿Puedes nombrar qué teorema, ley, ecuación o fórmula corresponde a cada foto?
Creado por
Alonso18
Perfil
Pruebas
Suscrito
¿Suscribirse?
+ Playlist
Puntuar:
Últimas actualizadas: 5 de octubre de 2025
Aún no has intentado esta prueba
Más información sobre la prueba >>
Se publicó por primera vez
4 de octubre de 2025
Intentos
171
Puntuación promedio
50,0%
Informar Prueba
Informar
Estadísticas sobre la prueba y sobre respuestas >>
Shared scores >>
Empezar la prueba
10:00
¿Rendirse?
Escribe la respuesta aquí
0
/ 18 adivinados
Pausar
Sin tiempo
Ayuda
Tiempo usado
00:00
Mejor tiempo
00:00
La prueba está en pausa. Tienes
.
Reanudar
Copied!
Puntuación
Tu puntuación es
/
=
%
Esto supera o iguala
% de los que han intentado la prueba
también puntuaron 100%
La puntuación promedio es
Tu puntuación más alta es
Tu tiempo más rapido es
más estadísticas >>
shared scores >>
Sigue desplazándote hacia abajo para ver las respuestas y más estadísticas ...
Reintentar la prueba
Challenge Users
Save Your Stats
Registrar
Más sugerencias
Mapa mundial sin 20 países aleatorios
¡20 países aleatorios han sido eliminados del mapa del mundo! ¿Puedes identificarlos en 3 minutos?
Capitales mundiales - ¡Muerte súbita!
Haz clic en las capitales mundiales, pero solo en las capitales. ¡Hacer clic en otras ciudades inmediatamente finaliza la prueba!
Top 100 futbolistas masculinos de 2025
¿Puedes nombrar a los mejores futbolistas internacionales del mundo en 2024 según un panel de 197 jueces organizado por The Guardian?
Países europeos - "Ahorcado" aleatorio
¿Puedes deletrear este país europeo? Si el país contiene la letra aparecerá en las respuestas, si no te acercarás a estar en la horca.
Aleatorio
Más >
Actualizar
2 Comentarios
Comentarios >
Tetor48ls
+1
Nivel 34
4 de oct de 2025
Muy bueno, me encanta, pero coulomb está mal escrito, le falta la o, pero el resto muy divertido. También creo que debería aceptar poner regla de Barrow.
Alonso18
+2
Nivel 47
5 de oct de 2025
Hecho, Tetor
Añadir comentario
Nuevos y populares
all
de
en
es
fi
fr
it
nl
pl
pt
Países del mundo
Estados de los Estados Unidos
Ganadores de Balón de Oro - ¡Muerte súbita!
Tabla Periódica
Prueba de los países de África
Contar rápido - 1 a 100
Provincias de España con un mapa
Bandera aleatoria al país
Países de Europa en un Minuto
Capitales de Europa
Mapa mundial sin 40 países aleatorios
Países de Asia
Aleatorio
Lo mejor de hoy