Fórmulas y ecuaciones matemáticas y físicas - Estadísticas

Estadísticas generales
  • Esta prueba ha sido intentada 171 veces
  • La puntuación promedio es 9 de 18
Estadísticas de respuestas
Imagen Respuesta % Correcto
Teorema de Pitágoras
98%
Ecuación de Einstein
76%
Segunda Ley de Newton
70%
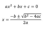
Fórmula de Bhaskara
63%
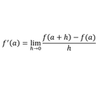
Fórmula de la derivada
57%
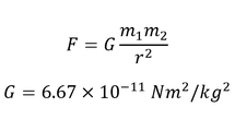
Ley de la gravitación universal
57%
Ley de Ohm
56%
Ecuación de los gases ideales
50%
Ley de Snell
49%
Primer Principio de la Termodinámica
47%
Fórmula de Euler
44%
Ecuaciones de Maxwell
38%
Ley de Coulomb
37%
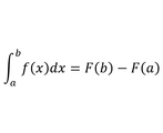
Teorema Fundamental del Cálculo
37%
Principio de incertidumbre de Heisenberg
32%
Ecuación de Schrödinger
31%
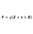
Fuerza de Lorentz
25%
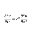
Ecuación de Ondas
17%
No se encontraron pruebas coincidentes
Distribución de puntuación
Porcentaje de gente con cada puntuación
Porcentaje por número respondido
Historial de tus puntuaciones
No has intentado esta prueba.