Menu
Create
Random
Create Account
Login
0
0
0
Language
Deutsch
Español
Français
Italiano
Nederlands
Polski
Português
Suomi
More...
Search...
Featured Quizzes
All Featured Quizzes
New and Reset
Random
Top Today
Geography
History
User Quizzes
Most Recent
All User-Created
Tags
Highest Rated
Most Taken
Nominated Quizzes
Recent Spotlights
Create Quiz
Create / Edit Quiz
New Click Quiz
New Map Quiz
New Multiple Choice
New Picture Quiz
New Sudden Death
New Text Quiz
New Tile Select
Data and Charts
JetPunk Charts
Recent Charts
Create Chart
Info Pages
Country Population
Interesting Facts
Interesting Quotes
Word Search
Featured Puzzles
Recent User Puzzles
Create Word Search
Blogs
Official Blog
User Blogs
Recent User Blogs
Blogs by Tag
Create Blog
Badges and Games
Badges
Even Split Game
Geography Snap Game
Minesweeper
Number Factoring Game
Typing Speed Test
U.S. State Puzzle
About JetPunk
About Us
Contact Us
Change Log
JetPunk Premium
Planting Trees
Site Map
Terms of Service
Message Board
Dark Mode
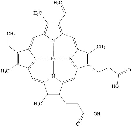
Biochemical molecules
Name the molecule in the picture.
use abbreviations (e.g. ATP)
Quiz by
Urbanc
Profile
Quizzes
Subscribed
Subscribe?
Nominate
Nominated
Spotlight
+ Playlist
Rate:
Last updated: February 3, 2025
You have not attempted this quiz yet.
More quiz info >>
First submitted
February 3, 2025
Times taken
63
Average score
28.6%
Report this quiz
Report
Quiz and answer stats >>
Friends stats >>
Start Quiz
4:00
Give Up?
Enter answer here
0
/ 28 guessed
Pause
Untimed
Help
Time Used
00:00
Best Time
00:00
The quiz is paused. You have
remaining.
Resume
Copied!
Scoring
You scored
/
=
%
This beats or equals
% of test takers
also scored 100%
The average score is
Your high score is
Your fastest time is
more stats >>
friends stats >>
Keep scrolling down for answers and more stats ...
Retake Quiz
Challenge Friends
Save Your Stats
Create Account
Your Next Quiz
Countries by First and Last Two Letters
In 90 seconds, make every country disappear from the map by typing both its first 2 letters and its last 2 letters.
Pin US States on a Borderless Map - Sudden Death
Drag the flag onto the correct state. Careful, though! One wrong move and the game ends.
Pin Africa on a Borderless Map
Drag the pin onto the correct country. Careful, though! Three wrong moves and the game ends.
Letters that Don't Start a U.S. State
Which letters of the alphabet are NOT the first letter of a U.S. state?
Random
More >
Refresh
Comments
No comments yet
Add comment
New and Popular
all
de
en
es
fi
fr
it
nl
pl
pt
Countries of the World Quiz
US States Quiz
World's Busiest Airports
Summer Olympics Host Cities
"Stan" Countries Quiz
Mediterranean Countries Quiz
Countries Closest to the U. S.
Books of the Protestant Bible
Border Crossings Quiz #1
Short Term Memory Test
#1 Hits of the 2000s
#1 NBA Basketball Draft Picks
Random
Top Today
Daily Challenge