Menu
Create
Random
Create Account
Login
0
0
0
Language
Deutsch
Español
Français
Italiano
Nederlands
Polski
Português
Suomi
More...
Search...
Featured Quizzes
All Featured Quizzes
New and Reset
Random
Top Today
Geography
History
User Quizzes
Most Recent
All User-Created
Tags
Highest Rated
Most Taken
Nominated Quizzes
Recent Spotlights
Create Quiz
Create / Edit Quiz
New Click Quiz
New Map Quiz
New Multiple Choice
New Picture Quiz
New Sudden Death
New Text Quiz
New Tile Select
Data and Charts
JetPunk Charts
Recent Charts
Create Chart
Info Pages
Country Population
Interesting Facts
Interesting Quotes
Word Search
Featured Puzzles
Recent User Puzzles
Create Word Search
Blogs
Official Blog
User Blogs
Recent User Blogs
Blogs by Tag
Create Blog
Badges and Games
Badges
Even Split Game
Geography Snap Game
Minesweeper
Number Factoring Game
Typing Speed Test
U.S. State Puzzle
About JetPunk
About Us
Contact Us
Change Log
JetPunk Premium
Planting Trees
Site Map
Terms of Service
Message Board
Dark Mode
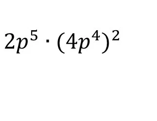
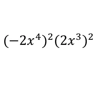
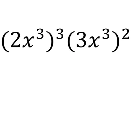
Unit 8.1-8.2 Math Practice Problems
Take your time and good luck!
You must type the words “to the 2nd” etc.
Make sure to simplify your answer!
Scratch paper is recommended
Quiz by
Treetreemetree
Profile
Quizzes
Subscribed
Subscribe?
Nominate
Nominated
Spotlight
+ Playlist
Rate:
Last updated: April 14, 2026
You have not attempted this quiz yet.
More quiz info >>
First submitted
April 14, 2026
Times taken
1
Average score
20.0%
Report this quiz
Report
Quiz and answer stats >>
Shared scores >>
Start Quiz
2:00
Give Up?
Enter answer here
0
/ 5 guessed
Pause
Untimed
Help
Time Used
00:00
Best Time
00:00
The quiz is paused. You have
remaining.
Resume
Copied!
Scoring
You scored
/
=
%
This beats or equals
% of test takers
also scored 100%
The average score is
Your high score is
Your fastest time is
more stats >>
shared scores >>
Keep scrolling down for answers and more stats ...
Retake Quiz
Challenge Users
Save Your Stats
Create Account
Your Next Quiz
Countries of the World Quiz
How many countries do you know? In this quiz, you've got 15:00 to name as many as you can. Go!
Countries that are the Source of Refugees
Name the countries from which the greatest number of refugees have fled.
Pin US States on a Borderless Map - Sudden Death
Drag the flag onto the correct state. Careful, though! One wrong move and the game ends.
Pin Europe on a Borderless Map - Sudden Death
Drag the flag onto the correct country. Careful, though! One wrong move and the game ends.
Random
More >
Refresh
Comments
No comments yet
Add comment
New and Popular
all
de
en
es
fi
fr
it
nl
pl
pt
Countries of the World Quiz
US States Quiz
Countries in World War II
MLB Baseball Teams Quiz
Top World Languages
Biggest Cities in the World
Original 151 Pokémon
Two Letter U.S. State Abbreviations
Mythical Creatures Quiz #1
Most Popular Fast Food Restaurants
Letters of the Greek Alphabet
Fresh Prince of Bel-Air Lyrics
Random
Top Today
Daily Challenge