Menu
Create
Random
Create Account
Login
0
0
0
Language
Deutsch
Español
Français
Italiano
Nederlands
Polski
Português
Suomi
More...
Search...
Featured Quizzes
All Featured Quizzes
New and Reset
Random
Top Today
Geography
History
User Quizzes
Most Recent
All User-Created
Tags
Highest Rated
Most Taken
Nominated Quizzes
Recent Spotlights
Create Quiz
Create / Edit Quiz
New Click Quiz
New Map Quiz
New Multiple Choice
New Picture Quiz
New Sudden Death
New Text Quiz
New Tile Select
Data and Charts
JetPunk Charts
Recent Charts
Create Chart
Info Pages
Country Population
Interesting Facts
Interesting Quotes
Word Search
Featured Puzzles
Recent User Puzzles
Create Word Search
Blogs
Official Blog
User Blogs
Recent User Blogs
Blogs by Tag
Create Blog
Badges and Games
Badges
Even Split Game
Geography Snap Game
Minesweeper
Number Factoring Game
Typing Speed Test
U.S. State Puzzle
About JetPunk
About Us
Contact Us
Change Log
JetPunk Premium
Planting Trees
Site Map
Terms of Service
Message Board
Dark Mode
Unit 8.1-8.2 Math Practice Problems - Statistics
Take the quiz!
Jump to:
Answer Stats
|
Score Distribution
|
Your Scores
General Stats
This quiz has been taken
0
times
The average score is
0
of
5
Answer Stats
Picture
Answer
% Correct
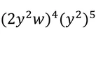
16w to the 4th y to the 18th
0%
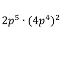
32p to the 13th
0%
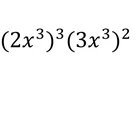
64x to the 14th
0%
6x to the 8th
0%
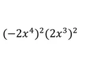
72x to the 15th
0%
Add
0%
No matching quizzes found
Score Distribution
Percent of People with Each Score
Percentile by Number Answered
Your Score History
You have not taken this quiz
New and Popular
all
de
en
es
fi
fr
it
nl
pl
pt
Countries of the World Quiz
US States Quiz
Name the 7 Dwarfs
Northernmost Countries
Canada Provinces and Territories
Marvel Cinematic Universe - All Movies
World Capitals by Proximity
Antonyms Quiz #1
Oscar Best Pictures
World Currency Quiz
Name a Valid Country #1
Name the Harry Potter Books
Random
Top Today
Daily Challenge